首页
集团概况
新闻动态
二级企业概况
信息公开
党建之窗
三明实践
江南(中国)官方
信息公开
Information disclosure
通 知
招投标
采购询价
人才招聘
通知
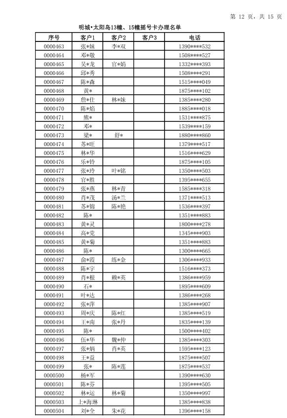
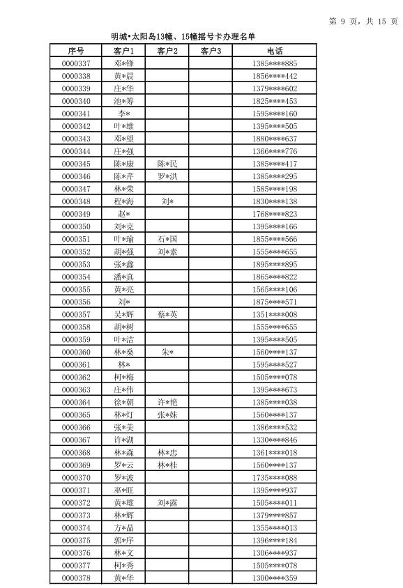
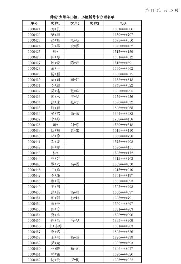
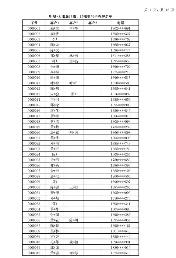
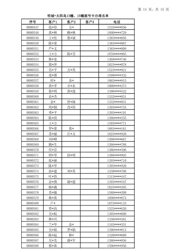
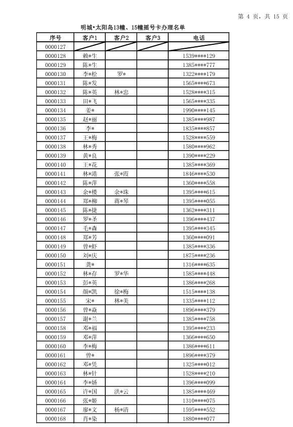
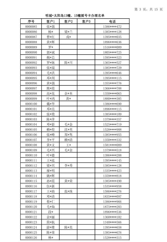
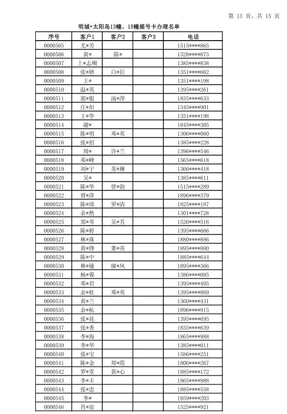
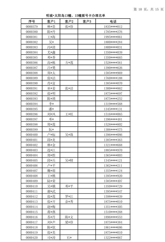
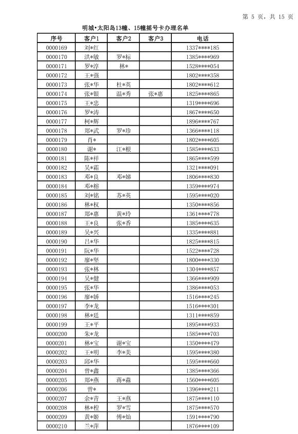
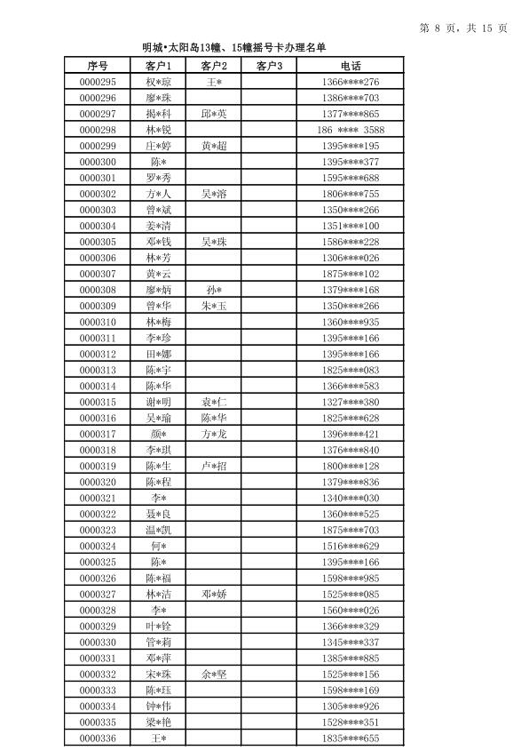
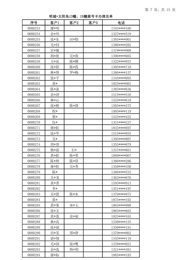
明城·太阳岛13幢15幢开盘“摇号卡办理名单”公示
发布时间:2020-01-13 11:02:00 阅读:10247
上一篇:
明城太阳岛开盘方案
下一篇:
明城·太阳岛13幢15幢开盘摇号卡中签名单公示
爱游戏平台
|
半岛在线
|
开云网页版登录入口
|
J9九游会(中国区)集团官方网站
|
开云(中国)Kaiyun·官方网站
|
九游网页版登录入口
|
开云手机登录入口
|
开云手机入口官网
|
开云手机站官方版网站登录入口
|